Aluminum - Design

Full code checking can be performed on standard aluminum shapes, based on the following codes:

Aluminum properties are available in the database and the values are based on the ADM values (See Aluminum Database).  You may also input your own basic shapes and the properties will be calculated automatically.

Design Parameters

The Aluminum tab on the Member Spreadsheet records the design parameters for the aluminum code checks.  These parameters may also be assigned graphically.  See Modifying Member Design Parameters to learn how to do this.

These parameters are defined for each aluminum member. The entries are explained below.

Label

You may assign a unique Label to all of the members. Each label must be unique, so if you try to enter the same label more than once you will get an error message. You may relabel at any time with the Relabel options on the Tools menu.

Shape

The member Shape or Section Set is reported in the second column.  This value is listed for reference only and may not be edited as it is dictated by the entry in the Section/Shape column on the Primary tab.

Length

The member Length is reported in the third column.  This value may not be edited as it is dependent on the member end coordinate listed on the Primary Data tab. It is listed here as a reference for unbraced lengths which are discussed in the next section.

Unbraced Length

See the Unbraced Lengths topic.

K Factors (Effective Length Factors)

See the Unbraced Lengths topic.

Sway Flags

See the Unbraced Lengths topic.

Cm - Interactive Bending Coefficient

Cm Coefficients are described in Section 4.1.1 of the ADM code. If these entries are left blank, they will be automatically calculated.

The Cm value is influenced by the sway condition of the member and is dependent on the member's end moments, which will change from one load combination to the next, so it may be a good idea to leave these entries blank.

Note:

Cb - Bending Coefficients

For all aluminum codes, Cb Coefficients depends on the moment variation over the unbraced length as described in ADM Chapter F. If this entry is left blank, it will be calculated automatically.

For Aluminum Design Manual 2020 (ADM 2020), section F.4.1.1 highlights a different approach for calculating the Bending Coefficient, Cb, compared to the previous codes.

For singly and doubly symmetric shapes between brace points:

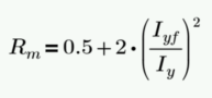
a) If Iyf/Iy ≤ 0.1 or Iyc/Iy ≥ 0.9, Cb is equal to 1.0.

b) If 0.1 < Iyc/Iy < 0.9, Cb is calculated as follows, now including a new factor called Rm:

Where:

 

Note:

Function for Stiffness Reduction

The Function entry may be set to either 'Lateral' or 'Gravity' using the drop down list in the spreadsheet. If the Adjust Stiffness option is set to Yes on the Codes tab of the Model Settings Dialog, then all members with a 'Lateral' Function will be considered for the stiffness reduction required per the Chapter C.2 Calculations of Required Strength.

The Flexural Stiffness Reduction of the Direct Analysis Method will be applied to all 'Lateral' members whose member type is set to either 'Beam' or 'Column' on the Primary Tab of the Members Spreadsheet. This process involves evaluating certain conditions:

1. Primary Stiffness Adjustment Requirements: The program first checks whether a member satisfies the three primary stiffness adjustment requirements:

2. Stiffness Adjustment Calculation: Once the above conditions are met, the software proceeds to calculate the stiffness adjustments for the member. This includes reducing the area and moment of inertia based on predefined multiplication factors:

3. Exclusion Criteria: However, certain exclusion criteria are considered to determine whether to apply the stiffness adjustments or not. The following conditions must be met simultaneously for exclusion:

If all the exclusion criteria are met, the original area and moment of inertia values will be retained without applying the stiffness adjustment multiplication factors. This ensures that certain types of HR members, when using the AISC 13 code, maintain their original stiffness characteristics.

The program can perform an iterative analysis during the solution depending on the value of τb. In this case, the stiffness matrix is recomputed for each iteration until the value of τb converges within 1 percent for all 'Lateral' members in compression. In the unlikely event that τb is less than zero, the value of τb is considered to be 1.e-5.

When the users sets the Adjust Stiffness flag on the Model Settings to Yes (Tau =1.0), then the program will use a Tau of 1.0 in the stiffness analysis and no iteration of the stiffness matrix is necessary. This option is a good feature for models which take a long time to solve or which have not yet been proportioned to control drift.

The Axial Stiffness Reduction of the Direct Analysis Method will be applied to all 'Lateral' members whose member type is set to either 'Column' or 'VBrace' on the Primary Tab of the Members Spreadsheet.

Note

Aluminum Code Check

Access the Code Check spreadsheet by selecting the Results menu and then selecting Members Design Results or by clicking on the Design Results button on the Results toolbar.

The final results of the code checking are the code check values UC Max and Shear UC.  So, if this value is less than 1.0, the member passes.  If it is greater than 1.0, the member fails.  If the value is greater than 9.999 it will be listed as "9.999".  The Shear Check is based on fs/Fs. The Loc field tells at what location the maximum code check occurs measured from the I-joint location of the member.  See Model Display Options – Members to learn how to view the code check results graphically.

The remaining columns provide some of the values used in the code check with the equation number itself given in the last column.  The Member Detail Report gives more values used to perform the code check.

The final field lists the controlling equation for the code check.  This will be one of the equations from Section 4.

For enveloped results the combination that produced the listed code and shear checks is given in the column "lc".  The other values are the corresponding values and are not necessarily the maximums across all the combinations.

The moving load results are enveloped and the governing load combination and step location is shown for each result value under the "LC" column. The first number is the load combination, the second is the step number: (load combination - step number). See Moving Loads to learn more.

Note

Aluminum Detail Report

The aluminum detail report has design information for the specific code checks:

The Max Bending Check is based on ADM Chapter H, with the governing Equation and Location listed.

The Max Shear Check is not provided in the ADM specification, this represents fs/Fs with the governing Location listed.

The Max Defl Ratio is based on the entire length of the member.

The Slender Limitl1 and l2 are calculated based on the Gov Eqn. The Slenderness Ratio are given based on the Design Aids in Tables 2-x ADM Section VI. The Slender. Ratio is also based on the Gov Eq , for further information refer to the ADM Design Aids.

Assumptions and Limitations

For all shape types, it is assumed that the transverse load on the member is occurring through the member's shear center. This means secondary torsional moments that may occur if the load is not applied through the shear center are not considered.

Special Messages

Aluminum Code Check Not Calculated

This message is displayed when the member is not defined with a database shape, is defined as a double section, or an Aluminum code is not specified on the Model Settings, or no units were specified.

-Pu was ignored in the calculation of the unity check-

This message is reported in the detail report when the member axial force is low (less than 5% of capacity). This is done so that beam members with very low axial forces will give similar code checks whether in tension or compression.