Wall Footings - Design

Here we will talk specifically about the calculations for wall footings.

RISAFoundation currently designs wall footings for all of the ACI codes, as well as the CSA A23.3-04/14 Canadian code. In this topic we will make specific reference to provisions for some of these codes. Note that the only differences in behavior with the differing codes is with the reinforcement design. All soil and serviceability checks are identical across codes.

Soil Considerations

The following details discuss some of the considerations for the computation of soil pressures.

Note: This section is only applicable for retaining walls. Strip footings use soil solely for vertical load considerations.

Lateral Force Coefficient (K) Calculations

From the Wall Footing Definition Editor (or the Wall Footing Definitions Spreadsheet), you can define either Rankine or Coulomb for the Lateral Earth Pressure Methodology.

Rankine

You can define the coefficient of internal friction (φ) and backfill angle (θ) in the Wall Footing Definition Editor (or the Wall Footing Definitions Spreadsheet) and allow the program to calculate K. Alternatively, you can directly input the K factors. If the program is used to calculate K, these are the equations used:

Note:

Coulomb

You can also directly input K with the Coulomb method and the program will ignore the other values. If the program is used to calculate K, these are the equations used.

where:

Both Methods

There is a potential to have three K factors for a single retaining wall: K Heel, K Sat Heel and K Toe.

Figure 1: Three Possible K factors 

Note:

Lateral Soil Summation

The program will perform a calculation comparing the total active force from the heel side and the total passive force from the toe side. If the passive force exceeds the active force, you then have an irrational solution. In this case, the program will give a message in the Detail Report and not design your retaining wall. The message states "The hydrostatic passive forces (toe side) exceed the hydrostatic active forces (heel side). Consider manually entering K factors for this wall." In this case, the Rankine active vs passive pressures will not work, so instead you may need to manually input your K factors in the Wall Footing Definitions Spreadsheet.

Loading Considerations

Regarding the loading of retaining walls, all hydrostatic, soil and surcharge loads are taken into account on a per foot basis. For more information, see Wall Footings - Modeling. Externally applied loads to retaining walls or strip footings are summed over the entire length of the wall and then divided out on a per foot basis. Because of this, concentrated stresses and areas of the wall that require tighter reinforcement are not taken into account. For more information on applying external loads to the model, see Wall Footings - Modeling.

Note: For highly loaded areas of wall footings where you want the reinforcement to be modified, break the wall footing into multiple pieces. Each piece will have its reinforcement optimized separately.

Seismic Loading Considerations

RISAFoundation will consider an inverted triangular seismic loading diagram if:

There are two paths to applying your seismic loads:

User Define the Magnitude of the Maximum Value of the Diagram

In the Wall Footing Definitions - Soil tab, there is an input for EQ Max. If there is a value in here, this is used as the maximum.

Allowing the Program to Calculate this Magnitude Using the Mononobe-Okabe/Seed-Whitman Formulation

In the Wall Footing Definitions - Soil tab, there is an input for EQ Max and Kh. For the program to calculate the magnitude of the maximum value of the diagram, EQ Max should be left blank and a value for Kh should be input.

The Mononobe-Okabe/Seed-Whitman equation is an expression for the total lateral earth force, including seismic plus active forces. Thus, to calculate the portion due solely to seismic, we must remove the active pressure portion. The M-O pressure coefficient is calculated as follows:

where:

The new term here is κ. This value uses the input Kh value for the Design Horizontal Ground Acceleration (in g). Kh is generally defined as Sds/2.5, but the actual value is up to the user. The vertical component of earthquake acceleration is not considered in the program.

The total seismic lateral force (per foot) is then defined as:

Per the Seed-Whitman variation, this seismic force is assumed to act at 0.6*Hwall. Thus, to calculate the magnitude at the top of the wall this equation is used:

Note:

Serviceability Considerations

Overturning and sliding checks are only provided for Service load combinations (LC's with the Service check box checked).

Overturning

Overturning is checked at the base of the footing at the extreme edge of the toe. Each portion of soil weight, concrete weight, surcharge loading, lateral soil pressure and lateral water pressure is taken into account. Each piece is either part of the resisting moment or the overturning moment.

Figure 2: Overturning Diagram 

From here, all of the resisting moments and overturning moments are summed. The ratio of resisting moments to overturning moments is checked against the SF given in that individual load combination.

Note:

Sliding

Sliding is checked at the extreme bottom face of the footing. This occurs at the bottom of footing if there is no shear key. If there is a shear key, this occurs at the bottom of the key.

Figure 3: Sliding Forces Diagram

Both the passive soil pressure and friction resistance are accounted for. 

where:

The sliding resistance is then compared against the sliding force caused by the hydrostatic pressure. The ratio of resisting forces to sliding forces is checked against the SF given in that individual load combination.

Note:

Stem Wall Design Considerations

Stem walls can be made of concrete or masonry materials. Design details for walls made with each of these materials are discussed below.

General Considerations

The stem wall design is analyzed along its height to come up with axial, shear and moment diagrams. The wall is designed for the worst case forces at the critical section. The program checks 20 locations over the height of the wall to determine the critical section. For a cantilevered uniform stem wall, the critical section is always at the wall intersections with the top of footing. For a propped retaining wall and/or one with a batter, this will be somewhere along the length of the wall. The program will take any externally applied loads in combination with hydrostatic pressures, surcharges, etc. The program will then factor the loads according to load combinations to come up with the axial, shear and moment diagrams.

Note:

Concrete Wall Considerations

For concrete walls, the stem wall design is only considered for non-service load combinations.

Axial/Bending Design

The program, given the wall thickness, reinforcement sizes, and max and min spacing and spacing increment, will design the wall reinforcement spacing to meet strength and minimum steel requirements.

The program will start with the maximum spacing. If that does not work for design, the spacing will drop by the spacing increment and be checked again. The program will work its way down until it reaches a spacing that meets all reinforcement requirements. The wall is checked considering the entire wall as a column. Thus, interaction and compression reinforcement is considered in the code check. Results are presented on a per foot basis, so the entire wall demand and capacity is calculated and then divided out on a per foot basis.

Note:

Moment and Axial Force Thresholds

The program will ignore axial forces and moments that are below a certain threshold. If the moment or axial force is deemed to be inconsequential to the code check, the program will not include the interaction of that force. There are two thresholds that are considered:

These two thresholds allow the concrete solver to work much more efficiently while having little to no effect on code check values.

Shear Check (Concrete)

The program will perform a concrete shear check. This check is taken at a distance "d" from the top of footing for a cantilevered wall. It is taken at a distance "d" from both the top of footing and from the top of the wall for a propped cantilevered wall.

Note:

Masonry Wall Considerations

For masonry walls, per the Model Settings, you can use either ASD or Strength code checks. Stem wall design is only considered for non-service load combinations. Here, we will break down both ASD and Strength aspects. Codes currently supported for masonry include:

Note: All code references in this section refer to the TMS 402-22 specification.

ASD Design Considerations

Axial Stress, fa

The axial stress in a wall due to axial forces, fa, is calculated as:

Note: The program does not design masonry for net tension forces. fa will equal 0 ksi in these cases.

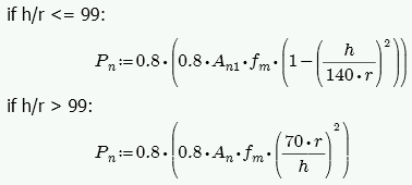
Axial Capacity, Fa

The calculation of Pa for reinforced masonry is Equation 8-16 or 8-17 and Fa for unreinforced masonry is per either Equation 8-11 or 8-12. depending on the h/r ratio. The equations are as follows:

where:

Note: The program does not design masonry for net tension forces. If there is net tension, Fa will still equal the compressive capacity of masonry.

Stresses fb and fs

The masonry bending stresses are referenced in UBC Section 2107.2.15 and are as follows:

However, if you are using a partially grouted wall where the neutral axis passes through the webs of your masonry, RISA will do a T-section analysis to define the section properties. We use a similar analysis as if you were doing a t-beam analysis for a concrete tee section. For more information on this, see "Design of Reinforced Masonry Structures" by Narendra Taly, copyright 2001, example 6.3, P6.61.

The area in red represents the compression block in the image above.

Bending Capacity, Fb

For unreinforced masonry, Equation 8-13 is:

For reinforced masonry, Section 8.3.4.2.2 states:

Because of this provision, RISA defines:

Steel Capacity, Fs

Section 8.3.3.1 defines the allowable steel stress, Fs.

Shear Stress, fv

This stress is calculated from Equation 8-19:

Shear Capacity, Fv

The program calculates the capacity, Fv, from Equation 8-20, except that only the Fvm term is considered. There is no way to add shear reinforcing steel. The program also checks to verify we do not exceed the Fv max value from Equations 8-21 and 8-22 (or interpolation between them) that is reported in the detail report.

Strength Design Considerations

Axial Strength, Pn at max Mom

Here there are two different possible calculations. If there is out-of-plane moment on the walls (from a retaining wall, for example), this is calculated from Section 9.3.4.4.2 as follows:

If there is no out-of-plane moment (from a strip footing, for example), this is calculated from Equations 9-11 and 9-12:

Note:

Moment Strength, Mn

This calculation comes from the Commentary of Section 9.3.4.2 as follows:

The program is actually using an interaction diagram for out of plane bending as well. However, the code places a limit on axial force from Section 9.3.4.4.2. This limit essentially means that only the lower portion of the interaction diagram will be used. In this lower portion of the interaction diagram, the bending capacity changes in a linear fashion with respect to axial force.

Thus, the equation above is nearly identical to the value that the program's interaction diagram will produce.

Note:

ASD Masonry Design For Unreinforced Walls

Compression Check (per Equation 8-9)

where:

Tension Check (per Section 8.2.4.2)

where:

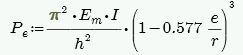
Slenderness Check (per Equation 8-10)

where:

Note: If using an Unreinforced wall, the program will ALWAYS use an ungrouted wall for design, regardless of what is set in the masonry wall design rules.

Shear Design (per Equation 8-19)

Note: We do not use Equation 8-15 to calculate shear stress.

The program calculates the capacity, Fv, from Equation 8-20 shown above. The program also checks to verify we do not exceed the Fv max value from Equations 8-21 and 8-22 (or interpolation between them) that is reported in the Detail Report.

Note: Unreinforced strength design is not available.

Footing Design Considerations

Here we will discuss some of the details of footing and dowel design (shear friction). Note that footing design is only considered for non-service load combinations. Shear friction checks are strength level checks.

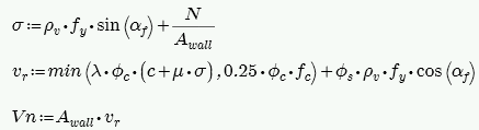
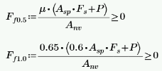
Shear Friction Check (for dowels between the wall and footing)

If the stem wall is not poured monolithically with the footing, a shear friction check is required at the base of the wall. This check considers the dowels from the footing to the wall and the program assumes that these dowels match the vertical reinforcement (either on the inside face or both faces; see Wall Footing Definitions for more information).

ACI 318 Codes

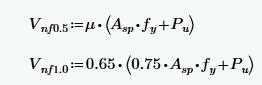
This check is done using ACI 318-14 Equation 22.9.4.2 (ACI 318-11 Equation 11-25) for shear friction:

where:

CSA A23.3-04 Code

This check is done using the CSA A23.3-04 shear friction capacity equation (11-24):

where:

ACI 530-13 Masonry Codes (ASD & Strength)

This code uses the ACI 318 procedure discussed above.

TMS 402-16 and 402-22 Masonry ASD

This check is done using Equations 8-28 and 8-29 for TMS 402-16, depending on the M/Vd ratio:

The check uses Equations 8-25 and 8-26 for TMS 402-22, depending on the M/Vd ratio:

where:

Note: The program will interpolate M/Vd between 0.5 and 1.0.

TMS 402-16 and 402-22 Masonry Strength

This check is done using Equations 9-33 and 9-34 for TMS 402-16, depending on the M/Vd ratio:

This check is done using Equations 9-33 and 9-34 for TMS 402-22, depending on the M/Vd ratio:

where:

Note: The program will interpolate M/Vd between 0.5 and 1.0.
Note:

Soil Pressure Considerations

Calculating the pressure under a footing requires both the moment (M) and the axial force (P) on the centerline of the footing at the base. An alternative hand calculation approach is to take the sum of moments (factored) from the overturning check and divide that out by the total axial force (factored). This gives you the resultant force location from the toe end.

Note: For propped cantilevers, the moment, M, used in this calculation is equal to the moment at the base of the footing. Hence, we assume a fixed (bottom of footing) - pinned (top of wall) condition and calculate the moment at the base using the hydrostatic forces.

From the x-value you can calculate the eccentricity from the footing centerline as:

If the resultant is in the middle third of the footing the force distribution is:

If the resultant is outside the middle of the footing, the force distribution is:

The soil (and surcharge) bearing down on the soil is also considered:

Note:

Flexural Design

Flexural design for wall footings assumes that the heel and toe portions of the footing are designed as cantilevered beams from the face of the retaining wall. There are generally two deflected shapes that will occur for footings depending on the loading.

The left image is likely the most common for retaining walls. The right image will generally occur for strip footings. In either case, the program considers the moment at the face of both the heel and toe and designs reinforcement for the worst case load combination. Both the flexural reinforcement (parallel to the footing) and the shrinkage and temperature reinforcement (perpendicular to the footing) are designed for minimum steel requirements as well.

Note: If the "d" distance for the footing is very small, the program may not be able to properly calculate an As Req'd.  In these cases, a "-1" will be displayed and an area of 0 will be used. The program will, however, still meet minimum reinforcement requirements and base the capacity on those values. So in many cases, your footing may still work.

Shear Checks

Shear design of footings also considers both the toe and heel sections as cantilevered beams. The difference here is where the shear failure will occur. The left image below shows the standard shear failure planes for typically loaded retaining walls. The right image below shows the standard shear failure planes for typically loaded strip footings. The program will check the loading of the footing and check the shear at the appropriate location.

From the left image, you see that the shear check would occur at a distance "d" from the face of the toe and right at the face of the heel. From the right image, you can see that both the heel and the toe would have their shear check occur at a distance "d" from the face of wall.

Note: The loading (top and bottom of footing) will always be taken from the location where the code check is taken from.